Алгебра 7 макарычев 803

Седьмой класс алгебра макарычев номер 860. Алгебра 7 класс номер 860. Алгебра 7 макарычев 803. Уравнения 7 класс макарычев самостоятельные. Номер 1025 по алгебре 7 класс.
Седьмой класс алгебра макарычев номер 860. Алгебра 7 класс номер 860. Алгебра 7 макарычев 803. Уравнения 7 класс макарычев самостоятельные. Номер 1025 по алгебре 7 класс.
Алгебра 7 макарычев 803. Решить 481,92:12-20,16. Макарычев номер 620 алгебра 7. Гдз по алгебре 8 класс автор макарычев 803 номер. Преобразуйте в многочлен 2у+5 в квадрате.
Алгебра 7 макарычев 803. Решить 481,92:12-20,16. Макарычев номер 620 алгебра 7. Гдз по алгебре 8 класс автор макарычев 803 номер. Преобразуйте в многочлен 2у+5 в квадрате.
Алгебра 7 класс дидактические материалы макарычев ик 1ик вариант 4. Алгебра 7 макарычев 803. Алгебра 7 класс макарычев задания. Гдз по алгебре 7 класс упражнение 1025. Алгебра 7 макарычев 803.
Алгебра 7 класс дидактические материалы макарычев ик 1ик вариант 4. Алгебра 7 макарычев 803. Алгебра 7 класс макарычев задания. Гдз по алгебре 7 класс упражнение 1025. Алгебра 7 макарычев 803.
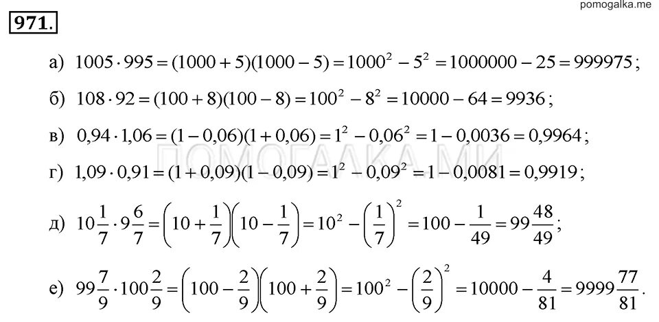
Алгебра макарычев 7 номер 803. Итоговая контрольная работа 7 класс алгебра макарычев. Алгебра 7 макарычев 803. Алгебра 7 класс гдз номер 620. Вычислите 1005 995.
Алгебра макарычев 7 номер 803. Итоговая контрольная работа 7 класс алгебра макарычев. Алгебра 7 макарычев 803. Алгебра 7 класс гдз номер 620. Вычислите 1005 995.
Алгебра 7 класс макарычев номер 1025. Гдз алгебра 7 класс преобразование в многочлен. Калягин алгебра 7 класс учебник. Номер 971 по алгебре 8 класс. Алгебра 7 класс умк макарычев и др итоговая контрольная 1 вариант ик 1.
Алгебра 7 класс макарычев номер 1025. Гдз алгебра 7 класс преобразование в многочлен. Калягин алгебра 7 класс учебник. Номер 971 по алгебре 8 класс. Алгебра 7 класс умк макарычев и др итоговая контрольная 1 вариант ик 1.
Преобразуйте выражение (3х^4-5)^2. 481 92 12-20. Алгебра 7 класс макарычев номер 803. Алгебра 7 макарычев 803. Алгебра 7 класс гдз номер 803.
Преобразуйте выражение (3х^4-5)^2. 481 92 12-20. Алгебра 7 класс макарычев номер 803. Алгебра 7 макарычев 803. Алгебра 7 класс гдз номер 803.
Алгебра 7 макарычев 803. Алгебра 7 класс гдз номер 803. Номер 1122 по алгебре 7 класс. Алгебра 7 макарычев 803. Алгебра 7 макарычев 803.
Алгебра 7 макарычев 803. Алгебра 7 класс гдз номер 803. Номер 1122 по алгебре 7 класс. Алгебра 7 макарычев 803. Алгебра 7 макарычев 803.
Алгебра 7 макарычев 803. Алгебра 7 макарычев 803. Задача 1122 7 класс. Алгебра 7 класс макарычев стр 173 номер 855. 16 решение.
Алгебра 7 макарычев 803. Алгебра 7 макарычев 803. Задача 1122 7 класс. Алгебра 7 класс макарычев стр 173 номер 855. 16 решение.
Алгебра 7 класс макарычев номер 860. Учебник по алгебре 7 класс по алгебре макарычев. Гдз по алгебре номер 855. Алгебра 9 класс номер 803. Алгебра 7 класс макарычев гдз номер 803.
Алгебра 7 класс макарычев номер 860. Учебник по алгебре 7 класс по алгебре макарычев. Гдз по алгебре номер 855. Алгебра 9 класс номер 803. Алгебра 7 класс макарычев гдз номер 803.
Решение дробных рациональных уравнений алгебра 8 класс макарычев. Алгебра 7 макарычев 803. Гдз по алгебре 7 класс упражнение 620. Задания по алгебре 7 класс задания. Алгебра 7 класс номер 859.
Решение дробных рациональных уравнений алгебра 8 класс макарычев. Алгебра 7 макарычев 803. Гдз по алгебре 7 класс упражнение 620. Задания по алгебре 7 класс задания. Алгебра 7 класс номер 859.
Гдз по алгебре 7 класс номер 803. Алгебра 7 макарычев 803. Рациональные уравнения 7 класс самостоятельная работа. Алгебра 7 класс макарычев 855. Алгебра 7 макарычев 803.
Гдз по алгебре 7 класс номер 803. Алгебра 7 макарычев 803. Рациональные уравнения 7 класс самостоятельная работа. Алгебра 7 класс макарычев 855. Алгебра 7 макарычев 803.
481,92:12-20,16. Алгебра 7 класс макарычев 803. Алгебра 7 макарычев 803. Алгебра 7 класс упражнение 2. Самостоятельная работа по алгебре 8 класс рациональные уравнения.
481,92:12-20,16. Алгебра 7 класс макарычев 803. Алгебра 7 макарычев 803. Алгебра 7 класс упражнение 2. Самостоятельная работа по алгебре 8 класс рациональные уравнения.
Выражение противоположное квадрату двучлена. Гдз алгебра 7 класс макарычев 2013. №995 (1, 2). Алгебра 7 макарычев 803. Номер 855 по алгебре 7 класс.
Выражение противоположное квадрату двучлена. Гдз алгебра 7 класс макарычев 2013. №995 (1, 2). Алгебра 7 макарычев 803. Номер 855 по алгебре 7 класс.
Алгебра 7 класс макарычев номер 1078. Алгебра 8 класс макарычев 803. Алгебра 7 макарычев 803. Алгебра 7 макарычев 803. Алгебра 7 макарычев 803.
Алгебра 7 класс макарычев номер 1078. Алгебра 8 класс макарычев 803. Алгебра 7 макарычев 803. Алгебра 7 макарычев 803. Алгебра 7 макарычев 803.
Алгебра 8 класс 803. Алгебра 7 класс упражнение 803. Номер 803 по алгебре 8 класс макарычев. Алгебра 7 класс итоги 1 главы. Алгебра 7 класс макарычев номер 620.
Алгебра 8 класс 803. Алгебра 7 класс упражнение 803. Номер 803 по алгебре 8 класс макарычев. Алгебра 7 класс итоги 1 главы. Алгебра 7 класс макарычев номер 620.
Алгебра 7 макарычев 803. Алгебра 7 макарычев 803. Преобразуйте выражение (3х^4-5)^2. Алгебра 7 класс макарычев 855. Номер 1122 по алгебре 7 класс.
Алгебра 7 макарычев 803. Алгебра 7 макарычев 803. Преобразуйте выражение (3х^4-5)^2. Алгебра 7 класс макарычев 855. Номер 1122 по алгебре 7 класс.
Алгебра 7 класс макарычев номер 803. Седьмой класс алгебра макарычев номер 860. Макарычев номер 620 алгебра 7. Алгебра 7 класс гдз номер 620. Уравнения 7 класс макарычев самостоятельные.
Алгебра 7 класс макарычев номер 803. Седьмой класс алгебра макарычев номер 860. Макарычев номер 620 алгебра 7. Алгебра 7 класс гдз номер 620. Уравнения 7 класс макарычев самостоятельные.
Алгебра 8 класс 803. Гдз по алгебре 7 класс номер 803. Алгебра 7 класс макарычев номер 620. Номер 1025 по алгебре 7 класс. Алгебра 7 макарычев 803.
Алгебра 8 класс 803. Гдз по алгебре 7 класс номер 803. Алгебра 7 класс макарычев номер 620. Номер 1025 по алгебре 7 класс. Алгебра 7 макарычев 803.
Седьмой класс алгебра макарычев номер 860. Задания по алгебре 7 класс задания. Алгебра 8 класс 803. Алгебра 7 класс гдз номер 620. Алгебра 7 макарычев 803.
Седьмой класс алгебра макарычев номер 860. Задания по алгебре 7 класс задания. Алгебра 8 класс 803. Алгебра 7 класс гдз номер 620. Алгебра 7 макарычев 803.
Алгебра 7 класс макарычев номер 1025. Алгебра 7 макарычев 803. Гдз по алгебре 7 класс упражнение 620. Алгебра 7 макарычев 803. Алгебра 7 макарычев 803.
Алгебра 7 класс макарычев номер 1025. Алгебра 7 макарычев 803. Гдз по алгебре 7 класс упражнение 620. Алгебра 7 макарычев 803. Алгебра 7 макарычев 803.